Nemsokára fizetünk
Decembertől fizetőssé válik a parkolási rendszer Csíkszeredában. Az első hónap próbaidőszak lesz, 2024 január elsejétől viszont élesben is elkezdődik a rendszer működtetése, ami azt jelenti, hogy már nemcsak felszólítást kap a gépjármű tulajdonosa.
Demény Attila, a csíkszeredai városi tömegközlekedést is üzemeltető Csíki Trans Kft. igazgatója avatott be a részletekbe a hamarosan induló fizetős parkolási rendszerrel kapcsolatban. Mint mondta, hivatalosan december elsején startol a próbaidőszak, viszont a gyakorlatban – a román ünnep miatt – csak december 4-én lesz az indulás, ugyanis hivatalos ünnepekkor nem lesz fizetős a parkolás. Ezért gyakorlatilag jövő év januárjában is csak másodikától kezdődik az éles időszak.
Mint megtudtuk, a próbaidőszak alatt is már kell fizetni – persze mindez az emberek jóindulatán múlik majd –, természetesen az ellenőrök elnézőbbek lesznek a szabályt be nem tartókkal, hisz csak figyelmeztetni fognak.
Többféle bérlet
Lesznek úgynevezett lakossági bérletek, amelyek hét övezet lakóit fogják kiszolgálni, a Piac utcai tömbházudvart és magát a piac udvarát, a Pengeblokkot és a szomszédos tömbházak parkolóövezetét, a Kőrösi Csoma Sándor utca tömbházainak parkolóövezetét, az Octavian Goga sétányt, a Szent Ágoston téri parkolót, illetve a rendelőintézet (poliklinika) előtti parkolót. A felsorolt övezetekben lakók kedvezményesen egy évre 250 lejért válthatnak bérletet, de csakis abban az esetben, ha a kérvényező személyi igazolványban szereplő lakcíme az adott övezetre szól és az autó is a lakcímre van bejegyezve. Kivételt képeznek az albérlők, akik a bérleti szerződés alapján válthatnak lakossági bérletet. Fontos kiemelni, hogy a bérletvásárlók nem saját parkolóhelyet kapnak, csupán csak a jogot, hogy az adott övezet bármelyik parkolóhelyén állomásozhassanak gépjárművükkel. A lakossági bérlet elsősorban azoknak lesz előnyös, akik keveset járnak autójukkal a városban – hiszen, ha gyakran kell egyéb fizetős övezetekben is parkolniuk, akkor már érdemesebb lehet nekik is az éves bérletet váltaniuk, ami igaz, hogy 500 lejbe kerül, viszont mindegyik parkolóhelyre érvényes függetlenül attól, hogy 0-s vagy 1-es zónáról van szó.
Két övezet
A 0-s zóna főként a városközpont területét foglalja magában, az 1-es zóna pedig ennek perifériája. A két zónára különféle díjszabás érvényes. A 0-s zónára csak az 500 lejes éves bérletek, valamint a 2,50 lejes félórás és az 5 lejes órás jegyek alkalmasak. Napijegy nincs. Az egyes zónában viszont olcsóbban vásárolhatunk majd félórás jegyet 1,50 lejért, órás jegyet 3 lejért és lesz lehetőség napijegy vásárlására 15 lejért, továbbá lehetőség lesz 150 lejes havi, 200 lejes háromhavi és 300 lejes féléves bérlet vásárlására.
A jegyeket, bérleteket a TPARK alkalmazáson keresztül, bankkártyás vagy SMS-es fizetéssel, banki átutalással lehet megvásárolni, valamint lesz lehetőség úgynevezett kaparós jegyet beszerezni a rendszert működtető Csíki Trans Kft. ügyfélszolgálatainál, a vasútállomással szembeni helyi buszállomáson, a városháza ügyfélközpontjában, illetve a partnerségre nyitott kereskedelmi egységeknél, utóbbira még várják a jelentkezőket, érdeklődőket.
Fontos kiemelni, hogy a kaparós jegyet leszámítva valamennyi jegy és bérlet digitális lesz, tehát a parkolásért fizető személyek gépjárművének rendszáma bekerül egy digitális adatbázisba, amin keresztül ellenőrizni tudják, hogy van-e érvényes parkolási jegye vagy bérlete az illetőnek.

A fizetős parkolás bevezetésével a városvezetés célja, hogy rend legyen a városban ezen a téren is, modern rendszert fogunk működtetni – fogalmazott Demény Attila. A Csíki Trans Kft. igazgatója megjegyezte, lakosságbarát parkolás kialakítása a szándék, ennek szellemében alakították ki a programot is, ugyanis reggel fél kilenctől délután fél ötig lesz kötelező a parkolásért való fizetés, hogy reggel és délután a szülők fennakadás nélkül tudják szállítani a gyermekeket a tanintézetek és az otthon között. Ugyanakkor a városnak luxus lenne, hogy a parkolási rendszert ne használja ki, hisz ez is egy bevételi forrás, amit a parkolófelületek karbantartására, takarítására stb. fognak fordítani. Be kell látni, hogy nincs ingyenes szolgáltatás. Mindemellett a legfontosabb, hogy a lakosság is elégedett legyen, ezért a szabályzó nincs véglegesítve, lezárva, a jobbító szándékú észrevételeket, kritikát megfontolják és kijavítják azt, ami nem megfelelő.
Az is szempont, hogy a városi forgalom napközben csökkenjen, hisz a tömegközlekedést kiszolgáló buszok folyamatosan késnek a kialakuló dugók miatt, ezért levegőssé kell tenni a várost – fűzte hozzá Demény. Az intézményvezető a rendszer egyéb fontos részleteit ismertetve kifejtette: amennyiben valakinek nincs érvényes parkolási jegye, bérlete – amit a parkolóőrök a rendszám alapján fognak tudni megállapítani –, akkor első alkalommal egy 25 lejes felárat fognak kiszámlázni, az autó szélvédőjére tűzve, amit aznap éjfélig kell kifizetni – az útmutatás a cetlin lesz feltüntetve. A fizetés elmaradása esetén az összeg duplázódik, aminek kifizetésére 48 óra áll rendelkezésre, és ha ez is elmarad, akkor a helyi rendőrség hatáskörébe kerül az eset, és ők fognak büntetést kiróni az illetőre.

Tájékoztató táblák
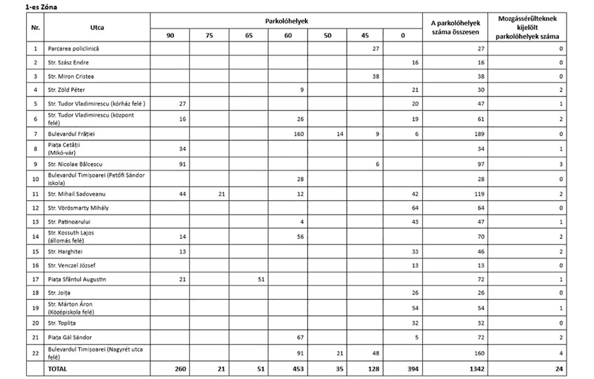
A Csíki Trans Kft. alkalmazásában hat parkolóőr fog felügyelni és három pénztáros fogja a klienseket kiszolgálni két ablaknál – a városi buszállomás, valamint a Mihail Sadoveanu utca 4. szám alatt található ügyfélközpontban –, ahol a jegyek, bérletek is beszerezhetők lesznek. Az alkalmazottaknak egyenruhájuk lesz, amelyet most terveznek. Összesen 2874 parkolóhely és 76 mozgássérülteknek kijelölt parkoló lesz a megyeszékhelyen. Ebből a 0-s zónára esik 1532 parkolóhely plusz 52 mozgássérülteknek, az 1-es zónába pedig 1342 plusz 24 mozgássérülteknek. A lakossági zónában 758 parkolóhely, valamint 22 mozgássérülteknek kijelölt parkolóhely lesz. Ezek listáját honlapunkon (www.hargitanepe.ro) is megtekinthetik. Az igazgató megemlítette, hogy az elektromos autók 50 százalékos kedvezményt kapnak a bérletekre, kivéve a lakossági bérletet. Mindemellett többféle kedvezményre van lehetőség a törvényi előírásoknak megfelelően, ezért ajánlatos tanulmányozni a parkolási szabályzót a szereda.ro honlapon. A tájékoztató táblák felszerelését a hét elején elkezdték, és hamarosan mindenütt kihelyezésre kerülnek.


